Contoh Soal Aplikasi Barisan Aritmatika

Contoh Soal Aplikasi Barisan Aritmatika

Contoh Soal Aplikasi Barisan Aritmatika. Karena selain barisan dan deret aritmatika, kita juga mengenal barisan dan deret geometri. Berikut ini penulis sajikan soal-soal beserta pembahasannya tentang soal cerita (aplikasi) mengenai barisan dan deret aritmetika.

Pengertian dan Rumus Deret Aritmatika serta Contoh Soal ...
Pengertian dan Rumus Deret Aritmatika serta Contoh Soal ... (Larry Summers)
Sekian ulasan tentang barisan dan deret aritmatika dan geometri untuk level kognitif aplikasi. Diketahui suatu barisan aritmatika sebanyak tujuh suku. Baris aritmatika merupakan baris yang nilai setiap sukunya didapatkan dari suku sebelumnya melalui penjumlahan atau pengurangan dengan suatu Untuk mengetahui nilai suku ke-n dari suatu barisan aritmatika dapat diketahui dengan mengetahui nilai suku ke-k dan selisih antar suku yang berdekatan.

Pilihlah jawaban yang benar ya sob :D.

Soal-soal ini dikumpulkan dari berbagai sumber termasuk soal UN maupun SBMPTN.

Download Aplikasi 45 Contoh Soal Grammar Bahasa Inggris ...

Kumpulan Soal Barisan dan Deret Aritmatika Beserta ...

Contoh Soal Uts Aplikasi Basis Data Semester 2 Bsi ...

Kumpulan Rumus Barisan Deret Aritmatika Geometri + Contoh ...

Contoh Soal Barisan Aritmatika Dalam Kehidupan Sehari Hari

Kumpulan Rumus Barisan dan Deret Aritmatika 2

Kumpulan Rumus Barisan Deret Aritmatika Geometri + contoh soal

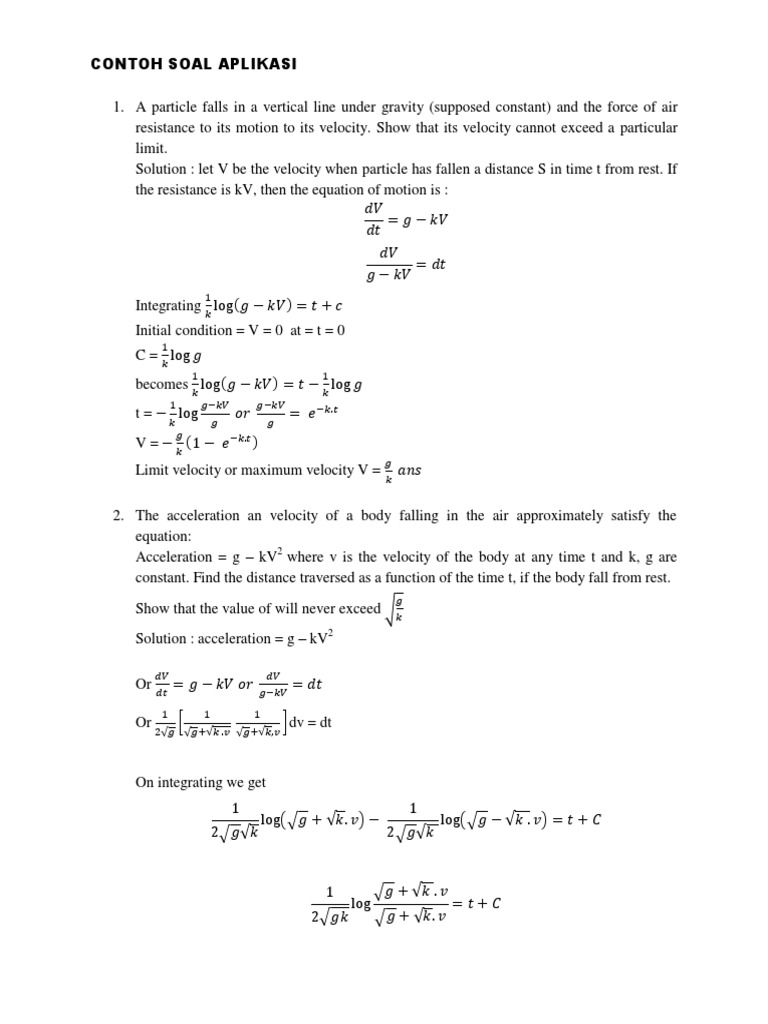
CONTOH SOAL APLIKASI

SBMPTN dan Contoh Soal: SBMPTN 2019 UTBK BARISAN DERET(16 ...

Terdapat sebuah barisan aritmatika sebanyak tujuh suku. Selisih didapatkan dari pengurangan setiap sukunya. Materi matematika SMA ini sering muncul dalam berbagai bentuk soal.

Share:

Posting Lainnya:

Disqus Comments